Get California Std 236 Form

Get California Std 236 Form

The California Std 236 form is a waiver that allows state agency employees to exempt themselves from transient occupancy taxes when staying at hotels or motels for official duties. This form ensures that the hotel or motel operator retains proper documentation for tax reporting purposes. If you need to fill out the form, please click the button below.

Structure

The California Std 236 form serves an important purpose for state employees and the hotel or motel operators they engage with. This form acts as a waiver for the transient occupancy tax, which is typically charged to guests staying at these establishments. Designed specifically for representatives or employees of state agencies, the Std 236 allows them to certify that their lodging expenses are being covered by the State of California while they are performing official duties. It includes essential details such as the hotel or motel name and address, the dates of occupancy, and the amount paid for the stay. By filling out this form, travelers confirm their status as state employees and provide necessary documentation to substantiate tax-exempt status. The form also requires the traveler’s signature and a declaration made under penalty of perjury, ensuring that all information provided is accurate. Operators are advised to retain this waiver for their records, as it supports their tax reporting and compliance obligations.

California Std 236 Preview

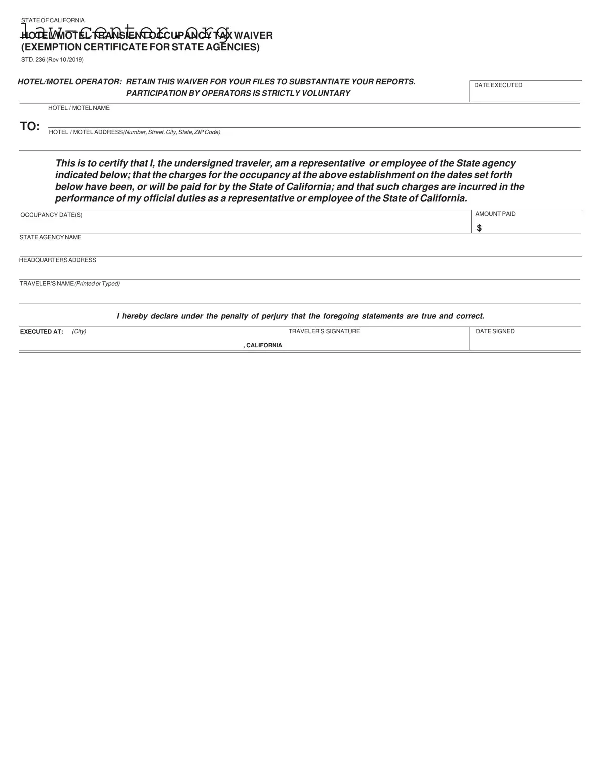
STATE OF CALIFORNIA

HOTEL/MOTEL TRANSIENT OCCUPANCY TAX WAIVER (EXEMPTION CERTIFICATE FOR STATE AGENCIES)

STD. 236 (Rev 10 /2019)

HOTEL/MOTEL OPERATOR: RETAIN THIS WAIVER FOR YOUR FILES TO SUBSTANTIATE YOUR REPORTS.

 

 

DATE EXECUTED

 

 

 

 

 

PARTICIPATION BY OPERATORS IS STRICTLY VOLUNTARY

 

 

 

 

 

 

 

 

 

 

 

HOTEL / MOTEL NAME

 

 

TO:

HOTEL / MOTEL ADDRESS(Number, Street, City, State, ZIP Code)

This is to certify that I, the undersigned traveler, am a representative or employee of the State agency indicated below; that the charges for the occupancy at the above establishment on the dates set forth below have been, or will be paid for by the State of California; and that such charges are incurred in the performance of my official duties as a representative or employee of the State of California.

OCCUPANCY DATE(S)

STATE AGENCY NAME

AMOUNT PAID

$

HEADQUARTERS ADDRESS

TRAVELER'S NAME(Printed or Typed)

I hereby declare under the penalty of perjury that the foregoing statements are true and correct.

EXECUTED AT: (City)

TRAVELER'S SIGNATURE

DATE SIGNED

, CALIFORNIA

Document Data

Fact Name Fact Description
Form Title The form is officially titled "Hotel/Motel Transient Occupancy Tax Waiver (Exemption Certificate for State Agencies) STD. 236."
Governing Law This form is governed by California Revenue and Taxation Code Section 7280, which outlines exemptions for state agencies.
Purpose The purpose of the form is to waive transient occupancy taxes for state agency representatives staying in hotels or motels.
Voluntary Participation Participation by hotel or motel operators in accepting this waiver is strictly voluntary.
Retention Requirement Hotel and motel operators must retain this waiver for their records to substantiate their tax reports.
Traveler Declaration The traveler must declare under penalty of perjury that the information provided on the form is true and correct.
Execution Date The form must be executed on the date of the traveler’s stay or intended stay at the hotel or motel.
Traveler Information The form requires the traveler’s name, the state agency they represent, and the amount paid for the stay.
Signature Requirement The traveler must sign the form to validate the claims made regarding the stay and payment.
Form Revision Date The current version of the form was revised in October 2019.

How to Use California Std 236

Once the California Std 236 form is filled out, it should be retained by the hotel or motel operator for their records. This ensures compliance and substantiates reports related to transient occupancy tax exemptions. Follow these steps to complete the form accurately.

  1. Enter the hotel/motel name in the designated field.
  2. Provide the hotel/motel address, including number, street, city, state, and ZIP code.
  3. Fill in the occupancy date(s) for your stay at the establishment.
  4. Write the state agency name you represent.
  5. Indicate the amount paid for your stay in dollars.
  6. Complete the headquarters address of your agency.
  7. Print or type the traveler's name in the specified area.
  8. Declare the accuracy of your statements by signing the form in the traveler's signature section.
  9. Include the date signed next to your signature.
  10. Specify the city where the form is executed.

Key Facts about California Std 236

What is the California Std 236 form?

The California Std 236 form is an exemption certificate used by state agency employees to waive the transient occupancy tax when staying at hotels or motels. This form certifies that the charges for the stay will be paid by the State of California, as the stay is necessary for the performance of official duties.

Who needs to fill out the California Std 236 form?

This form is intended for employees or representatives of state agencies who are traveling for work-related purposes. If you are a state employee staying at a hotel or motel, you will need to complete this form to avoid paying the transient occupancy tax.

How do I complete the California Std 236 form?

To complete the form, you will need to provide your name, the name of your state agency, the hotel or motel's name and address, the dates of your occupancy, and the amount paid. After filling in these details, you must sign and date the form, declaring that the information provided is true and correct.

What information is required on the form?

Key information includes your name, the name of the state agency you represent, the hotel or motel's name and address, the dates of your stay, and the total amount paid for the occupancy. It’s essential to ensure all information is accurate to avoid complications.

Is participation in this waiver voluntary?

Yes, participation by hotel and motel operators in this waiver program is strictly voluntary. They may choose to accept or decline the exemption based on their policies. However, if they do accept, they must retain the form for their records.

What happens if I don’t use the California Std 236 form?

If you do not use the California Std 236 form when staying at a hotel or motel for state business, you may be required to pay the transient occupancy tax. This tax can add significant costs to your travel expenses, so it is beneficial to utilize the waiver when applicable.

Where should the completed form be submitted?

The completed California Std 236 form should be presented to the hotel or motel at the time of check-in. The hotel will keep this form on file to substantiate their tax reports. It is advisable to retain a copy for your records as well.

What is the penalty for providing false information on the form?

Providing false information on the California Std 236 form can lead to serious consequences, including potential legal repercussions. You are declaring under penalty of perjury that the information is true, so it is crucial to ensure accuracy when completing the form.

Can the California Std 236 form be used for personal travel?

No, the California Std 236 form is specifically designed for state agency employees traveling for official duties. It cannot be used for personal travel or for stays that are not related to state business.

Common mistakes

Filling out the California Std 236 form can be straightforward, but there are common mistakes that travelers often make. One frequent error is neglecting to include the correct hotel or motel name. It's crucial to ensure that the name matches the establishment where the stay occurred. An incorrect name can lead to complications when the hotel tries to verify the waiver.

Another common mistake involves the occupancy dates. Travelers sometimes forget to specify the exact dates of their stay. Leaving this section blank or providing inaccurate dates can result in the form being rejected. Always double-check that the dates align with your travel itinerary to avoid any issues.

Many individuals also overlook the importance of providing the state agency name. This detail is essential, as it identifies the agency responsible for covering the costs. Without this information, the form may not be valid, and the hotel may not accept the waiver.

Additionally, some travelers fail to include their signature on the form. This step is vital, as it certifies the accuracy of the information provided. A missing signature can invalidate the waiver, causing unnecessary delays and potential out-of-pocket expenses.

Another mistake is not providing the amount paid for the stay. This figure is necessary to demonstrate the charges incurred. Omitting this detail can create confusion and may lead to the rejection of the waiver by the hotel or motel.

Lastly, travelers sometimes forget to specify the city where the waiver is executed. This information is required to validate the form. A missing city can raise questions about the legitimacy of the document, so it is essential to ensure this detail is included.

Documents used along the form

The California Std 236 form is an important document used by state employees to certify their exemption from transient occupancy tax when staying at hotels or motels. However, several other forms and documents are often used alongside it to ensure compliance and proper documentation. Below is a list of these related documents, along with brief descriptions of each.

  • Travel Authorization Form: This document is used to obtain prior approval for travel expenses. It outlines the purpose of the trip, estimated costs, and the duration of travel.
  • Expense Reimbursement Form: After a trip, employees fill out this form to request reimbursement for travel-related expenses incurred while performing official duties.
  • Hotel Invoice: This is a detailed bill from the hotel or motel that lists the charges for the stay. It serves as proof of payment and is often required for reimbursement.
  • State Agency Travel Policy: This document outlines the rules and guidelines for state employees regarding travel, including allowable expenses and procedures for booking accommodations.
  • Certificate of Insurance: Some agencies may require proof of insurance coverage for liability during travel. This certificate confirms that the traveler is covered under the state’s insurance policy.
  • Travel Itinerary: This document provides a schedule of travel plans, including flight details, hotel reservations, and any scheduled meetings or events.
  • Per Diem Rate Schedule: This schedule outlines the daily allowance for meals and incidentals while traveling. It helps employees understand what expenses are covered.
  • Travel Log: A record that travelers maintain to document their activities, expenses, and time spent on official business during the trip.
  • Approval Memo: Sometimes, a memo is needed to formally approve the travel request from a supervisor or department head, providing an additional layer of authorization.
  • Travel Safety Guidelines: This document provides important information on safety protocols and best practices for employees traveling on state business.

Each of these documents plays a vital role in the travel process for state employees. They help ensure that all necessary approvals are in place and that expenses are properly documented and reimbursed. Understanding these forms can simplify the travel experience and ensure compliance with state regulations.

Similar forms

The California Std 236 form serves as a waiver for transient occupancy tax for state agencies. Several other documents serve similar purposes in various contexts. Below is a list of six documents that share similarities with the California Std 236 form:

  • California Std 237: This form is also used by state agencies to claim exemption from the transient occupancy tax. It provides a certification that the stay is related to official state business.
  • Federal Tax Exemption Certificate: This document allows federal employees to claim tax exemption on lodging expenses incurred during official travel. It requires similar information regarding the traveler and the purpose of the stay.
  • Hotel/Motel Tax Exemption Form (Various States): Many states have their own versions of tax exemption forms for government employees, requiring details about the stay and the state agency involved.
  • Travel Authorization Form: This document is used by government agencies to authorize travel for employees. It includes details about the trip and often accompanies tax exemption forms.
  • State Employee Travel Reimbursement Form: This form is used to request reimbursement for travel expenses, including lodging. It typically requires documentation similar to that found in the Std 236.
  • Official Travel Itinerary: This document outlines the details of a government employee's travel plans, including lodging. It supports tax exemption claims by providing context for the travel.

Dos and Don'ts

When filling out the California Std 236 form, it is important to be thorough and accurate. Here are some guidelines to help ensure the process goes smoothly:

  • Do read the entire form carefully before starting.
  • Do provide complete and accurate information in all required fields.
  • Do ensure that the hotel/motel name and address are correct.
  • Do include the correct dates of occupancy.
  • Do sign and date the form before submission.
  • Don’t leave any fields blank unless specified as optional.
  • Don’t use abbreviations or shorthand that may cause confusion.
  • Don’t forget to keep a copy of the completed form for your records.
  • Don’t submit the form without verifying all information is correct.

By following these guidelines, you can help ensure that the form is filled out correctly, minimizing the risk of delays or issues. If you have any questions, consider reaching out for assistance.

Misconceptions

Misconceptions about the California Std 236 form can lead to confusion for travelers and hotel operators alike. Here are six common misunderstandings:

  • It is mandatory for all state employees. Many believe that all state employees must use the Std 236 form. In reality, participation by operators is strictly voluntary.
  • It applies to all hotel stays. Some think the form is applicable to every hotel stay. However, it is specifically for transient occupancy tax waivers for state agencies.
  • Only certain hotels accept the form. A misconception exists that only select hotels recognize the Std 236. Any hotel or motel that accommodates state employees can accept this waiver.
  • It guarantees exemption from all taxes. Some individuals assume that using this form exempts them from all taxes. The Std 236 only waives the transient occupancy tax, not other applicable taxes.
  • It must be submitted before check-in. There is a belief that the form needs to be completed before arriving at the hotel. It can be filled out at any time during the stay, as long as it is retained for records.
  • Travelers can use it for personal expenses. Some travelers think they can use the Std 236 for personal trips. This form is only valid for expenses incurred while performing official duties for the state.

Key takeaways

When filling out the California Std 236 form, keep the following key takeaways in mind:

  • Purpose: The form serves as a waiver for the transient occupancy tax for state agency employees staying at hotels or motels.
  • Voluntary Participation: Completing this form is strictly voluntary for hotel and motel operators.
  • Accurate Information: Ensure that all details, including the hotel name, address, and occupancy dates, are accurate and complete.
  • Signature Requirement: The form must be signed by the traveler, confirming that the information provided is true and correct.
  • Record Keeping: Hotel and motel operators should retain the completed form for their records to support tax reports.

Understanding these points will help ensure proper use of the form and compliance with state regulations.