Get California Cd 130 Form

Get California Cd 130 Form

The California CD 130 form is a legal document used to request a writ of possession after a court hearing. This form directs law enforcement to take possession of specified property on behalf of the plaintiff. If you need to fill out this form, please click the button below.

Structure

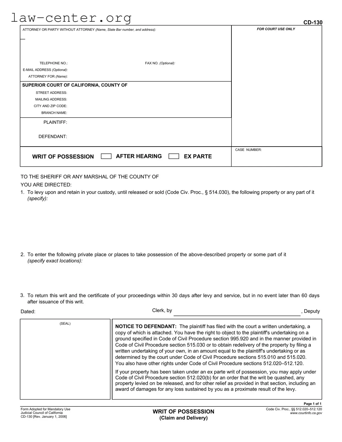
The California CD 130 form is a crucial document used in legal proceedings concerning the possession of property. This form is typically employed in situations where a plaintiff seeks to obtain a writ of possession after a hearing. It outlines essential information, including the names and contact details of the attorney or party involved, the court's address, and the case number. The form directs the sheriff or marshal to take specific actions regarding the property in question, such as levying upon and retaining custody of the property until further notice. Additionally, it specifies locations where the property may be taken and sets a timeline for returning the writ and reporting on the proceedings. Importantly, the CD 130 also includes a notice to the defendant, informing them of their rights and options, including the ability to object to the plaintiff's undertaking or seek redelivery of their property. Understanding the components and implications of this form is essential for anyone involved in property disputes in California.

California Cd 130 Preview

CD-130

ATTORNEY OR PARTY WITHOUT ATTORNEY (Name, State Bar number, and address):

TELEPHONE NO.:

FAX NO. (Optional):

E-MAIL ADDRESS (Optional):

 

ATTORNEY FOR (Name):

 

SUPERIOR COURT OF CALIFORNIA, COUNTY OF

STREET ADDRESS:

MAILING ADDRESS:

CITY AND ZIP CODE:

BRANCH NAME:

PLAINTIFF:

DEFENDANT:

WRIT OF POSSESSION

 

AFTER HEARING

 

EX PARTE

TO THE SHERIFF OR ANY MARSHAL OF THE COUNTY OF

YOU ARE DIRECTED:

FOR COURT USE ONLY

CASE NUMBER:

1.To levy upon and retain in your custody, until released or sold (Code Civ. Proc., § 514.030), the following property or any part of it (specify):

2.To enter the following private place or places to take possession of the above-described property or some part of it (specify exact locations):

3.To return this writ and the certificate of your proceedings within 30 days after levy and service, but in no event later than 60 days after issuance of this writ.

Dated:

(SEAL)

Clerk, by

 

, Deputy

 

 

 

NOTICE TO DEFENDANT: The plaintiff has filed with the court a written undertaking, a copy of which is attached. You have the right to object to the plaintiff's undertaking on a ground specified in Code of Civil Procedure section 995.920 and in the manner provided in Code of Civil Procedure section 515.030 or to obtain redelivery of the property by filing a written undertaking of your own, in an amount equal to the plaintiff's undertaking or as determined by the court under Code of Civil Procedure sections 515.010 and 515.020. You also have other rights under Code of Civil Procedure sections 512.020–512.120.

If your property has been taken under an ex parte writ of possession, you may apply under Code of Civil Procedure section 512.020(b) for an order that the writ be quashed, any property levied on be released, and for other relief as provided in that section, including an award of damages for any loss sustained by you as a proximate result of the levy.

 

 

Page 1 of 1

Form Adopted for Mandatory Use

WRIT OF POSSESSION

Code Civ. Proc., §§ 512.020–512.120

Judicial Council of California

www.courtinfo.ca.gov

CD-130 [Rev. January 1, 2006]

(Claim and Delivery)

 

 

 

Document Data

Fact Name Details
Purpose The CD-130 form is used to request a writ of possession after a hearing, allowing a plaintiff to reclaim property from a defendant.
Governing Laws This form is governed by the California Code of Civil Procedure, specifically sections 512.020 to 512.120.
Filing Requirements It must be filed with the Superior Court of California and includes information about the plaintiff, defendant, and the property in question.
Defendant's Rights The defendant has the right to object to the plaintiff's undertaking and may file their own undertaking to regain possession of the property.

How to Use California Cd 130

Filling out the California CD-130 form requires attention to detail. This document is essential in legal proceedings and must be completed accurately to ensure the process moves forward smoothly. Follow these steps carefully to fill out the form correctly.

  1. At the top of the form, enter the name of the attorney or party without an attorney, including their State Bar number and address.
  2. Provide the telephone number, and if applicable, include the fax number and email address.
  3. Indicate the name of the attorney representing the plaintiff.
  4. Fill in the details of the Superior Court of California, including the county, street address, mailing address, city, and ZIP code.
  5. Specify the branch name of the court.
  6. Identify the plaintiff and defendant by entering their names in the designated fields.
  7. For the case number, write the assigned number in the appropriate space.
  8. In section 1, describe the property to be levied upon and retained by the sheriff or marshal.
  9. In section 2, specify the exact locations of the private places where the property will be taken from.
  10. Make sure to note the requirement to return the writ and certificate of proceedings within 30 days after the levy and service, but no later than 60 days after the writ's issuance.
  11. Sign and date the form where indicated, ensuring that the Clerk's seal is present.

After completing the form, it is crucial to submit it to the appropriate court. Ensure that all information is accurate and that you have retained copies for your records. This will help facilitate the next steps in your legal process.

Key Facts about California Cd 130

What is the purpose of the California CD 130 form?

The California CD 130 form, also known as the Writ of Possession, is used to request the sheriff or marshal to take possession of property after a court hearing. This typically occurs in situations where a plaintiff has successfully argued for the return of property that is being wrongfully withheld by a defendant.

Who can file a CD 130 form?

Any party involved in a legal dispute over property can file a CD 130 form. This includes plaintiffs seeking possession of property and defendants who may wish to contest the writ. The form must be filed with the Superior Court of California, and it requires specific information about the parties involved, including their names and addresses.

What information is required on the CD 130 form?

The CD 130 form requires several key pieces of information. This includes the names and contact information of the attorney or party filing the form, details about the property in question, and the specific locations where the property is located. Additionally, it includes a case number and the court's address. Accurate and complete information is essential for the writ to be valid.

What rights does a defendant have when served with a CD 130?

Upon receiving a CD 130, a defendant has several rights. They can object to the plaintiff's undertaking, which is a financial guarantee filed by the plaintiff. The defendant may also file their own undertaking to secure the return of their property. Furthermore, they can apply to quash the writ if they believe it was improperly issued, which may include seeking damages for any losses incurred due to the levy.

What happens after the CD 130 form is filed?

Once the CD 130 form is filed, the sheriff or marshal is directed to take possession of the specified property. They must return the writ and a certificate of their proceedings to the court within 30 days of the levy. However, this must occur no later than 60 days after the writ is issued. This timeline is crucial to ensure that all parties are informed and that the process adheres to legal requirements.

Can the property be returned to the defendant after it has been taken?

Yes, the defendant can seek the return of their property after it has been taken under a writ of possession. They may do this by filing a written undertaking that matches the plaintiff's amount or by contesting the writ in court. The law provides avenues for defendants to reclaim their property if they believe the writ was unjustly issued.

What should a plaintiff do if they believe their property is at risk of being wrongfully withheld?

If a plaintiff believes their property is at risk, they can file a CD 130 form to initiate the process of obtaining a writ of possession. It is essential for the plaintiff to have a solid legal basis for their claim and to ensure that all procedural requirements are met. This includes providing evidence that supports their right to possess the property in question.

Where can I find more information about the CD 130 form?

Additional information about the CD 130 form can be found on the official Judicial Council of California website. This resource provides guidance on how to complete the form, as well as details on related legal processes and rights of both plaintiffs and defendants. Consulting with a legal professional can also provide clarity and assistance in navigating this process.

Common mistakes

Filling out the California CD-130 form can be straightforward, but many people make common mistakes that can lead to delays or complications. One frequent error is not providing complete information in the Attorney or Party Without Attorney section. This section requires your name, State Bar number, and address. Omitting any of these details can result in the court rejecting your form or delaying your case.

Another mistake involves the case number. Some individuals forget to include the correct case number or mistakenly enter an incorrect one. The case number is essential for the court to identify your case and process your request efficiently. Double-check this number before submitting your form to avoid unnecessary issues.

Additionally, people often overlook the importance of specifying the property involved. The section that asks for the description of the property to be levied is crucial. Vague or incomplete descriptions can lead to confusion and may prevent the sheriff or marshal from executing the writ properly. Be as detailed as possible when describing the property to ensure clarity.

Lastly, many fail to understand the timeline for returning the writ. The form requires that you return the writ and the certificate of your proceedings within 30 days after levy and service, but no later than 60 days after issuance. Missing this deadline can have serious consequences for your case. Make sure to keep track of these dates and submit the required documents on time.

Documents used along the form

The California CD-130 form, known as the Writ of Possession, is a crucial document in legal proceedings involving the recovery of property. When filing this form, several other documents often accompany it to ensure that the process is thorough and legally sound. Here’s a brief overview of these additional forms and documents that may be necessary.

  • Undertaking (Code Civ. Proc. § 995.920): This is a written promise made by the plaintiff to the court, usually involving a monetary amount. It serves as a security for the defendant’s potential damages if the court later determines that the property was wrongfully taken.
  • Notice of Motion: This document is filed to inform the court and the parties involved about a request for a hearing. It outlines the specific relief being sought, such as the return of property or a challenge to the writ.
  • Declaration in Support of Motion: This is a written statement made under penalty of perjury. It provides the court with facts and evidence supporting the motion, explaining why the writ should be quashed or why the property should be returned.
  • Proof of Service: This document confirms that all parties involved have been properly notified about the proceedings. It details how and when the documents were served, ensuring that everyone has had the opportunity to respond.

Each of these documents plays a vital role in the legal process surrounding property recovery. Understanding their purpose can empower individuals involved in such cases, helping them navigate the complexities of the law with greater confidence.

Similar forms

The California CD-130 form, known as the Writ of Possession, has similarities with several other legal documents. Each of these documents serves specific purposes in legal proceedings. Here is a list of six documents that share similarities with the CD-130 form:

  • Writ of Attachment: This document allows a creditor to seize a debtor's property to secure a judgment. Like the CD-130, it involves the court directing a sheriff or marshal to take possession of property.
  • Writ of Execution: This form is used to enforce a judgment by allowing the seizure of a debtor's property. Similar to the CD-130, it requires the sheriff to take specific actions regarding the property.
  • Claim and Delivery: This document is filed when a party seeks to recover specific personal property. It parallels the CD-130 in that it initiates a process to reclaim property through court intervention.
  • Temporary Restraining Order (TRO): A TRO is issued to prevent a party from taking certain actions. Both documents can be urgent in nature and may require immediate enforcement by law enforcement officials.
  • Notice of Motion for Possession: This is a request to the court for an order to take possession of property. Like the CD-130, it involves legal proceedings to secure property rights.
  • Ex Parte Application: This document is used to request urgent court orders without the other party present. The CD-130 can also be issued ex parte, emphasizing the need for swift action in possession cases.

Dos and Don'ts

When filling out the California CD-130 form, it is essential to follow specific guidelines to ensure accuracy and compliance. Here are six important dos and don’ts to keep in mind:

  • Do provide complete and accurate information in all sections of the form.
  • Do include your contact information, including phone number and email address, if applicable.
  • Do specify the exact property you wish to levy upon, including any relevant details.
  • Do ensure you submit the form within the required time frame to avoid delays.
  • Don't leave any sections blank; incomplete forms can lead to rejection.
  • Don't forget to review the form for errors before submission, as mistakes can complicate the process.

By adhering to these guidelines, you can navigate the process more smoothly and effectively.

Misconceptions

Understanding the California CD-130 form can be challenging, and several misconceptions often arise. Here are six common misunderstandings about this form:

  • Misconception 1: The CD-130 form is only for attorneys.
  • This form can be used by both attorneys and individuals representing themselves. While legal representation is common, self-representation is allowed in California courts.

  • Misconception 2: The CD-130 form guarantees immediate possession of property.
  • Filing the CD-130 does not automatically mean you will receive possession. The court must review the circumstances and approve the writ before any property can be taken.

  • Misconception 3: The defendant has no rights once the CD-130 is issued.
  • Defendants retain several rights, including the ability to object to the plaintiff’s undertaking and the right to seek redelivery of their property. These rights are crucial for protecting their interests.

  • Misconception 4: The CD-130 form is only applicable in specific types of cases.
  • This form is primarily used in cases involving possession and delivery of property, but it can apply in various situations where a writ of possession is necessary.

  • Misconception 5: Once the writ is served, the process is complete.
  • After the writ is served, the sheriff or marshal must return the writ and a certificate of their actions within a specified time frame. This process requires careful attention to ensure compliance.

  • Misconception 6: There is no recourse if property is wrongfully taken under the CD-130.
  • If property is wrongfully taken, the defendant can apply to quash the writ and seek relief, including damages for any losses incurred. Understanding these options is essential for anyone involved in such proceedings.

Key takeaways

Filling out and using the California CD-130 form is a critical step in the legal process of obtaining a writ of possession. Here are key takeaways to consider:

  • Understand the Purpose: The CD-130 form is used to request a writ of possession, allowing a party to take possession of property after a court hearing.
  • Accurate Information: Ensure that all fields, including names, addresses, and case numbers, are filled out accurately to avoid delays.
  • Involve Legal Representation: It is advisable to have an attorney review the form, especially if you are unfamiliar with the legal process.
  • Specify Property Details: Clearly describe the property you seek to recover, including any specific locations where it is located.
  • Follow Deadlines: The writ must be returned within 30 days after the levy and service, and no later than 60 days after issuance.
  • Notify the Defendant: The defendant must be informed of their rights, including the ability to object to the plaintiff's undertaking.
  • Understand Your Rights: Familiarize yourself with relevant sections of the Code of Civil Procedure that outline both plaintiff and defendant rights.
  • Consider Filing an Undertaking: The defendant has the option to file a written undertaking to regain possession of their property.
  • Review the Attached Documents: Ensure that any attached documents, such as the plaintiff's undertaking, are included with the form submission.
  • Seek Relief if Necessary: If property has been wrongfully taken, the defendant can apply for an order to quash the writ and seek damages.

Being thorough and timely in completing the CD-130 form is essential. Each step carries significant implications for both parties involved. Take the time to understand the process and seek assistance if needed.