Attorney-Approved Arizona Non-compete Agreement Document

Attorney-Approved Arizona Non-compete Agreement Document

A Non-compete Agreement in Arizona is a legal document that restricts an employee from working for competitors or starting a competing business for a specified time after leaving their job. This form aims to protect the employer's business interests and confidential information. To ensure compliance and clarity, consider filling out the Non-compete Agreement form by clicking the button below.

Structure

In Arizona, a Non-compete Agreement is an important tool for employers looking to protect their business interests. This agreement restricts employees from engaging in similar work or starting a competing business within a specific timeframe and geographic area after leaving their job. It is designed to prevent the sharing of sensitive information and trade secrets that could give competitors an unfair advantage. While these agreements can be beneficial for employers, they must be carefully crafted to ensure they are reasonable and enforceable under state law. Key aspects include the duration of the restriction, the geographic scope, and the nature of the restricted activities. Understanding these elements is crucial for both employers and employees, as they navigate the balance between protecting business interests and allowing individuals the freedom to work. By familiarizing themselves with the Arizona Non-compete Agreement form, parties can make informed decisions that respect both their rights and responsibilities.

Arizona Non-compete Agreement Preview

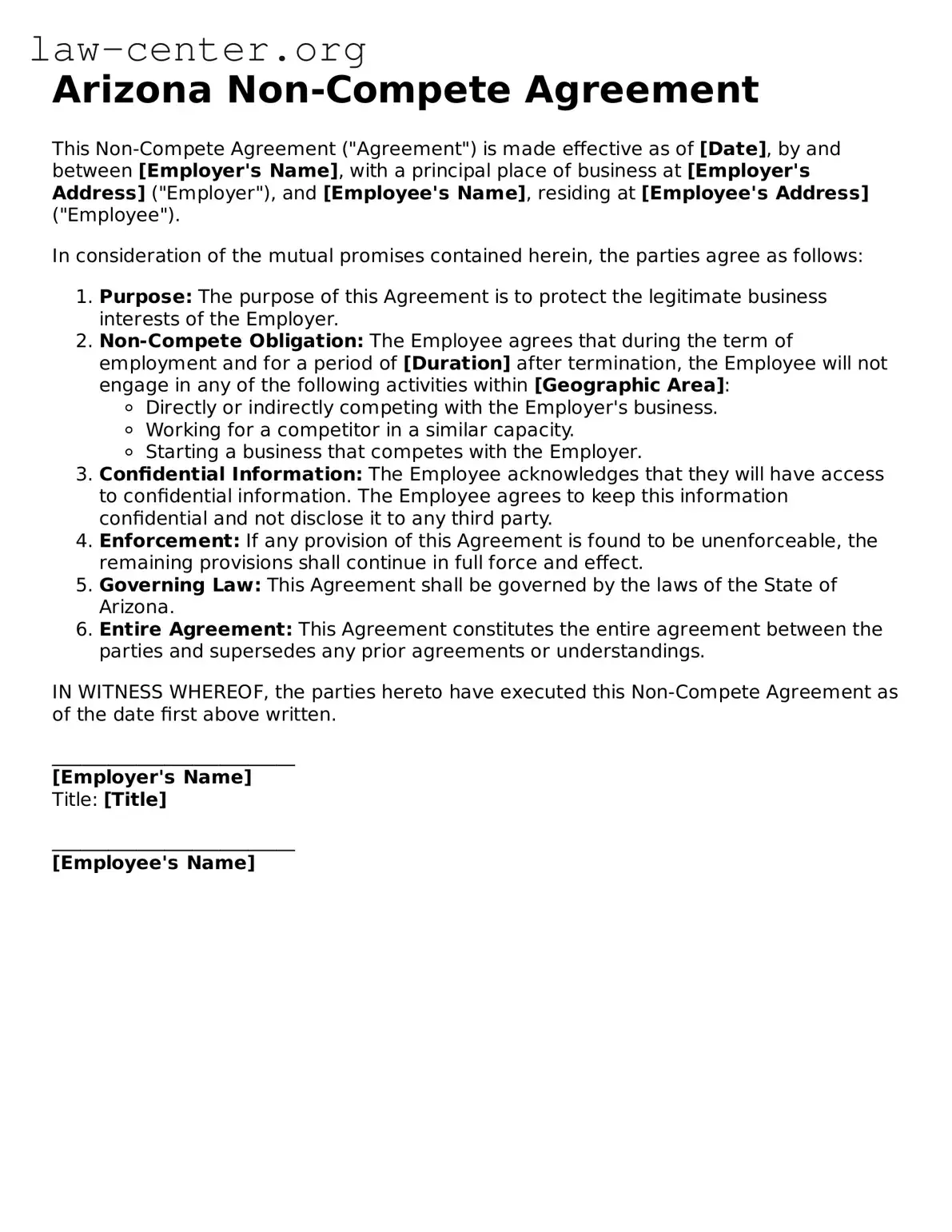
Arizona Non-Compete Agreement

This Non-Compete Agreement ("Agreement") is made effective as of [Date], by and between [Employer's Name], with a principal place of business at [Employer's Address] ("Employer"), and [Employee's Name], residing at [Employee's Address] ("Employee").

In consideration of the mutual promises contained herein, the parties agree as follows:

  1. Purpose: The purpose of this Agreement is to protect the legitimate business interests of the Employer.
  2. Non-Compete Obligation: The Employee agrees that during the term of employment and for a period of [Duration] after termination, the Employee will not engage in any of the following activities within [Geographic Area]:
    • Directly or indirectly competing with the Employer's business.
    • Working for a competitor in a similar capacity.
    • Starting a business that competes with the Employer.
  3. Confidential Information: The Employee acknowledges that they will have access to confidential information. The Employee agrees to keep this information confidential and not disclose it to any third party.
  4. Enforcement: If any provision of this Agreement is found to be unenforceable, the remaining provisions shall continue in full force and effect.
  5. Governing Law: This Agreement shall be governed by the laws of the State of Arizona.
  6. Entire Agreement: This Agreement constitutes the entire agreement between the parties and supersedes any prior agreements or understandings.

IN WITNESS WHEREOF, the parties hereto have executed this Non-Compete Agreement as of the date first above written.

__________________________
[Employer's Name]
Title: [Title]

__________________________
[Employee's Name]

Form Attributes

Fact Name Description
Definition A non-compete agreement is a contract that restricts an employee from working for competitors or starting a competing business for a certain period after leaving their job.
Enforceability In Arizona, non-compete agreements are generally enforceable if they are reasonable in scope and duration.
Duration Typically, a non-compete agreement in Arizona should not exceed one to two years to be considered reasonable.
Geographic Scope The geographic area covered by the agreement must be reasonable and relevant to the business interests being protected.
Consideration For a non-compete agreement to be valid, the employee must receive something of value in return, such as a job offer or training.
Governing Law The laws governing non-compete agreements in Arizona are primarily found in Arizona Revised Statutes.
Exceptions Certain professions, such as medical practitioners, may have specific rules that limit the enforceability of non-compete agreements.

How to Use Arizona Non-compete Agreement

Filling out the Arizona Non-compete Agreement form is straightforward. Ensure that all required information is accurate and complete. Once you finish, you’ll be ready to submit the form as needed.

  1. Begin by entering the full name of the employee in the designated field.
  2. Provide the employee's address, including city, state, and zip code.
  3. Fill in the name of the employer or company.
  4. Enter the employer's address, including city, state, and zip code.
  5. Specify the effective date of the agreement.
  6. Clearly outline the terms of the non-compete clause, including the duration and geographic area.
  7. Include any additional provisions or conditions that apply to the agreement.
  8. Have both parties sign and date the form to validate the agreement.

Key Facts about Arizona Non-compete Agreement

What is a Non-compete Agreement in Arizona?

A Non-compete Agreement is a legal contract between an employer and an employee that restricts the employee from working for competitors or starting a competing business for a specified period after leaving the company. In Arizona, these agreements are enforceable but must be reasonable in scope, duration, and geographic area to be valid.

What are the key elements of a valid Non-compete Agreement in Arizona?

To be enforceable, a Non-compete Agreement in Arizona should include several key elements: a clear definition of the restricted activities, a reasonable duration of the restriction, and a specific geographic area where the restrictions apply. Additionally, the agreement must protect legitimate business interests, such as trade secrets or customer relationships, and must be supported by consideration, which means the employee must receive something of value in exchange for signing the agreement.

How long can a Non-compete Agreement last in Arizona?

The duration of a Non-compete Agreement in Arizona varies but generally should not exceed one to two years. Courts typically evaluate the reasonableness of the duration based on the nature of the business and the role of the employee. An overly long duration may lead to the agreement being deemed unenforceable.

Can an employee challenge a Non-compete Agreement in Arizona?

Yes, an employee can challenge a Non-compete Agreement if they believe it is overly restrictive or does not meet the legal requirements. Common grounds for challenge include lack of consideration, unreasonable duration or geographic scope, and failure to protect legitimate business interests. If a dispute arises, it may be resolved through negotiation, mediation, or litigation.

Are there any exceptions to the enforceability of Non-compete Agreements in Arizona?

Yes, there are exceptions. For instance, Arizona law prohibits Non-compete Agreements for employees who are terminated without cause or for employees who are laid off. Additionally, certain professions, such as those in the medical field, may have specific regulations regarding Non-compete Agreements. It is essential to consult with a legal professional to understand the nuances of these exceptions.

Common mistakes

When individuals fill out the Arizona Non-compete Agreement form, several common mistakes can lead to misunderstandings or complications in the future. Awareness of these pitfalls can help ensure that the agreement is both effective and enforceable. One prevalent mistake is failing to clearly define the scope of the non-compete clause. Without specific details about the type of work restricted, the geographical area covered, and the duration of the agreement, the clause may be deemed overly broad or vague.

Another frequent error is neglecting to consider the reasonableness of the restrictions. Arizona law requires that non-compete agreements be reasonable in terms of time and geographic scope. If the restrictions are too lengthy or cover an unreasonably large area, a court may invalidate the agreement. Therefore, it is crucial to strike a balance that protects the employer’s interests without unfairly limiting the employee’s ability to find work.

In addition, individuals often overlook the importance of mutual consideration. A non-compete agreement must provide something of value to both parties. If the employee does not receive a benefit in exchange for signing the agreement, it could be unenforceable. This could include a job offer, a promotion, or access to sensitive company information.

Many people also fail to read the entire document thoroughly before signing. Skimming through the terms can lead to misunderstandings about what the agreement entails. It is essential to fully comprehend each provision and how it may impact future employment opportunities. Seeking clarification on any unclear terms can prevent future disputes.

Another mistake involves not keeping a copy of the signed agreement. After the document is completed, both parties should retain a copy for their records. This ensures that everyone has access to the same information and can refer back to it if questions arise later.

Additionally, some individuals may not consider the implications of signing the agreement while under duress or without sufficient time to review it. Signing a non-compete agreement should be a voluntary decision made with adequate time for reflection. If an employee feels pressured to sign quickly, it could lead to claims of coercion.

Moreover, individuals often forget to update the agreement if their job role changes significantly. If an employee’s responsibilities evolve or if they move to a different geographic location, the original non-compete terms may no longer be applicable. Regularly reviewing and updating the agreement is essential to ensure it remains relevant.

Lastly, people sometimes assume that all non-compete agreements are enforceable in every situation. This is not the case. Arizona courts will evaluate the specifics of each agreement, and factors such as public interest and employee hardship can influence enforceability. Understanding these nuances can help both employers and employees navigate the complexities of non-compete agreements more effectively.

Documents used along the form

When entering into a Non-compete Agreement in Arizona, several other documents may be relevant to ensure clarity and protect the interests of all parties involved. Each of these documents serves a specific purpose and can provide additional context or requirements that complement the Non-compete Agreement.

  • Employment Agreement: This document outlines the terms of employment between the employer and employee. It typically includes job responsibilities, compensation, benefits, and the duration of employment. The Non-compete Agreement may be a part of this larger document.
  • Confidentiality Agreement: Also known as a Non-disclosure Agreement (NDA), this document protects sensitive information shared between the parties during the course of employment. It ensures that proprietary information remains confidential even after the employment relationship ends.
  • Intellectual Property Assignment Agreement: This agreement specifies that any inventions, designs, or creative works developed by the employee during their employment belong to the employer. It is crucial for companies that rely on innovation and creativity.
  • Severance Agreement: This document outlines the terms under which an employee may leave the company. It often includes details about severance pay, benefits continuation, and any obligations the employee has, including adherence to the Non-compete Agreement.
  • Offer Letter: This is a formal letter from the employer to the employee, detailing the job offer. It typically includes the position, salary, and other employment terms. The Non-compete Agreement may be referenced within this letter.
  • Release of Claims: This document is often signed at the end of employment. It releases the employer from any future claims the employee may have, ensuring that both parties have settled any potential disputes.

Understanding these documents can help both employers and employees navigate their rights and obligations effectively. Each plays a vital role in defining the working relationship and protecting the interests of all involved parties.

Similar forms

  • Non-disclosure Agreement (NDA): Like a non-compete agreement, an NDA protects sensitive information. It prevents parties from sharing confidential data with others, ensuring that proprietary information remains secure.
  • Employment Agreement: This document outlines the terms of employment, including responsibilities and compensation. Similar to a non-compete, it may contain clauses that restrict certain actions post-employment.
  • Confidentiality Agreement: This agreement focuses on keeping trade secrets and other confidential information private. It shares a similar purpose with non-compete agreements in safeguarding a company’s interests.
  • Partnership Agreement: When forming a partnership, this document defines the roles and responsibilities of each partner. It may include non-compete clauses to protect business interests from partner competition.
  • Severance Agreement: Often provided upon termination, this document may include non-compete provisions to restrict former employees from joining competitors, thus protecting the company’s market position.
  • Consulting Agreement: This outlines the terms under which a consultant provides services. Similar to non-compete agreements, it can include restrictions on working with competitors after the consulting relationship ends.
  • Franchise Agreement: This legal document governs the relationship between a franchisor and a franchisee. It may include non-compete clauses to ensure that franchisees do not undermine the brand’s integrity.
  • Shareholder Agreement: This document outlines the rights and responsibilities of shareholders. It can include non-compete provisions to prevent shareholders from engaging in competing businesses.
  • License Agreement: In this context, a license agreement grants rights to use intellectual property. It may contain non-compete elements to restrict the licensee from using the licensed material in ways that compete with the licensor.
  • Settlement Agreement: Often used in dispute resolutions, this document may include non-compete clauses as part of the terms to resolve conflicts between parties, ensuring a smoother transition post-settlement.

Dos and Don'ts

When filling out the Arizona Non-compete Agreement form, it's important to keep a few key points in mind. Here’s a helpful list of things you should and shouldn’t do:

  • Do read the entire form carefully before filling it out.
  • Do provide accurate and complete information.
  • Don’t rush through the process; take your time to ensure everything is correct.
  • Don’t sign the agreement without fully understanding its terms.

By following these guidelines, you can help ensure that the agreement is filled out properly and reflects your understanding of the terms involved.

Misconceptions

Non-compete agreements are often misunderstood. Here are four common misconceptions about the Arizona Non-compete Agreement form.

  1. Non-compete agreements are always enforceable.

    This is not true. In Arizona, non-compete agreements must be reasonable in scope, duration, and geographic area. If they are too broad, a court may refuse to enforce them.

  2. Signing a non-compete means you cannot work in your field ever again.

    This is a misconception. A non-compete agreement may restrict you from working for a specific employer or within a certain area for a limited time. It does not prohibit you from working in your field entirely.

  3. All non-compete agreements are the same.

    Each non-compete agreement can differ significantly based on the terms agreed upon by the employer and employee. It is essential to read and understand the specific terms of any agreement before signing.

  4. Non-compete agreements do not require consideration.

    This is incorrect. In Arizona, a non-compete agreement must be supported by consideration, meaning the employee must receive something of value in exchange for signing the agreement, such as a job offer or promotion.

Key takeaways

When dealing with a Non-compete Agreement in Arizona, there are several important considerations to keep in mind. Here are four key takeaways:

  • Understand the Purpose: A Non-compete Agreement is designed to protect a business's interests by preventing employees from working for competitors or starting a competing business for a specified period after leaving the company.
  • Know the Limitations: Arizona law imposes restrictions on the enforceability of Non-compete Agreements. They must be reasonable in scope, duration, and geographic area to be valid.
  • Clear Language is Essential: The agreement should be written in clear and understandable terms. Ambiguities can lead to disputes and potential unenforceability.
  • Consider Alternatives: Sometimes, other agreements such as Non-disclosure Agreements (NDAs) or Non-solicitation Agreements may be more appropriate, depending on the specific business needs.

These points highlight the importance of careful consideration and clarity when creating and using a Non-compete Agreement in Arizona.